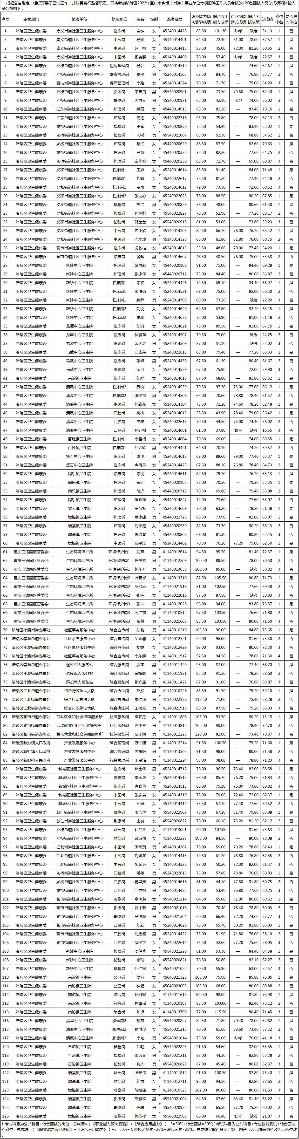
涪陵区2022年重庆市乡镇(街道)事业单位专项招聘工作人员总成绩和体检人员公布表

收藏 订阅 小程序
The End

*声明:本站发布的招考动态来源于考试官方网站,本站整理编辑,若涉及版权或错误,请联系本站予以更改或删除。点击反馈

    今日还没有招考哦

微信扫一扫
关注该公众号

二维码
意见反馈